Jaringan saraf berulang dua arah paling sering digunakan di bidang pembelajaran yang mendalam.
Berikut ini adalah postingan khusus kamus AI Kami yang menjelaskan terkait pembahasan terkait apa itu pengertian, makna, dan akronim, istilah, jargon, atau terminologi Bidirectional Recurrent Neural Networks berdasarkan dari berbagai jenis macam reference atau referensi relevan terpercaya yang telah Kami rangkum dan kumpulkan, termasuk definisinya menurut ahli.

Daftar Isi Konten:
- Pengertian Umum Bidirectional Recurrent Neural Networks
- Fungsi Bidirectional Recurrent Neural Network
- Contoh Bidirectional Recurrent Neural Network
- Rumus Bidirectional Recurrent Neural Networks
- Jenis Macam Arti Jaringan Saraf Berulang Dua Arah dalam Kamus Terjemahan Bahasa Inggris, Indonesia, Jawa, Sunda, dan Malaysia
- Beberapa Paper (Artikel Ilmiah atau Makalah) atau Buku yang Terkait dengan Istilah Bidirectional Recurrent Neural Networks serta Link atau Tautannya
- Kesimpulan
- Penutup
- Sumber (Referensi)
Pengertian Umum Bidirectional Recurrent Neural Networks
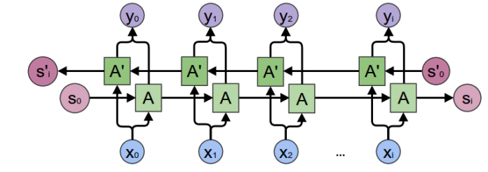
Bidirectional Recurrent Neural Networks (BRNN) adalah jenis arsitektur jaringan saraf tiruan yang memungkinkan informasi untuk mengalir maju dan mundur melalui jaringan. Dalam BRNN, input diberikan ke jaringan dari kedua arah, yaitu dari awal ke akhir dan dari akhir ke awal. Hal ini memungkinkan jaringan untuk mempelajari pola yang kompleks dan konteks yang lebih luas dalam data yang diolah.
Menurut Graves (2013), BRNN adalah “jaringan saraf tiruan yang terdiri dari dua lapisan jaringan saraf rekuren, satu yang mengalir maju dan satu yang mengalir mundur, yang dihubungkan ke lapisan output melalui lapisan tersembunyi yang terdiri dari sel-sel memori”.
Sedangkan menurut Schuster dan Paliwal (1997), BRNN adalah “jaringan saraf tiruan yang memproses data dalam dua arah, yaitu dari awal ke akhir dan dari akhir ke awal, sehingga memungkinkan jaringan untuk mempelajari pola yang kompleks dan konteks yang lebih luas dalam data yang diolah”.
Dalam penelitian “Bidirectional Recurrent Neural Networks” oleh Graves (2013), BRNN digunakan untuk memprediksi karakter berikutnya dalam sebuah urutan karakter. Hasil penelitian menunjukkan bahwa BRNN dapat menghasilkan prediksi yang lebih akurat dibandingkan dengan jaringan saraf tiruan lainnya.
Fungsi Bidirectional Recurrent Neural Network
Bidirectional Recurrent Neural Network (BRNN) adalah jenis arsitektur jaringan saraf tiruan yang digunakan untuk memproses data urutan, seperti teks atau suara. BRNN memiliki kemampuan untuk memproses data secara maju dan mundur pada saat yang sama, sehingga dapat menghasilkan representasi yang lebih baik dari data urutan.
BRNN terdiri dari dua lapisan jaringan saraf tiruan, yaitu lapisan maju dan lapisan mundur. Lapisan maju memproses data urutan dari awal hingga akhir, sedangkan lapisan mundur memproses data urutan dari akhir hingga awal. Hasil dari kedua lapisan tersebut kemudian digabungkan untuk menghasilkan representasi yang lebih baik dari data urutan.
Contoh Bidirectional Recurrent Neural Network
Contoh penggunaan BRNN adalah dalam pemrosesan teks, seperti klasifikasi teks atau penerjemahan mesin. Dalam klasifikasi teks, BRNN dapat digunakan untuk memproses teks secara maju dan mundur untuk menghasilkan representasi yang lebih baik dari teks. Sedangkan dalam penerjemahan mesin, BRNN dapat digunakan untuk memproses teks sumber dan teks target secara bersamaan untuk menghasilkan terjemahan yang lebih akurat.
Contoh lain penggunaan BRNN adalah dalam pengenalan suara. BRNN dapat digunakan untuk memproses sinyal suara secara maju dan mundur untuk menghasilkan representasi yang lebih baik dari suara. Hal ini dapat meningkatkan akurasi pengenalan suara, terutama dalam kondisi lingkungan yang bising.
Rumus Bidirectional Recurrent Neural Networks
Bidirectional Recurrent Neural Networks (BRNN) adalah jenis neural network yang memiliki kemampuan untuk memproses data secara sekuensial dari kedua arah, yaitu dari awal ke akhir dan dari akhir ke awal. Rumus BRNN dapat dituliskan sebagai berikut:
Simbol-simbol yang terdapat pada rumus BRNN adalah:
- xt: input pada waktu t
- ht: hidden state pada waktu t
- yt: output pada waktu t
- Wih: bobot antara input dan hidden state pada arah maju
- Woh: bobot antara hidden state dan output pada arah maju
- Wih‘: bobot antara input dan hidden state pada arah mundur
- Woh‘: bobot antara hidden state dan output pada arah mundur
- bh: bias pada hidden state
- by: bias pada output
Jenis Macam Arti Jaringan Saraf Berulang Dua Arah dalam Kamus Terjemahan Bahasa Inggris, Indonesia, Jawa, Sunda, dan Malaysia
Selain membahas tentang arti, apa itu, pengertian, definisi, fungsi, dan rumus atau formula terkaitnya, untuk lebih memperluasnya di sini Kami juga akan menerangkan beberapa jenis macam arti kata dalam kamus terjemahan bahasa Inggris, Indonesia, Jawa, Sunda, dan Malaysia.
Agar dapat dengan mudah dipahami, di postingan khusus Kamus AI ini Kami akan menjelaskannya dalam bentuk tabel terjemahan bahasa Inggris, Indonesia, Jawa, Sunda, dan Malaysia sebagai berikut.
| Nama Bahasa | Terjemahan |
| Bahasa Inggris | Bidirectional Recurrent Neural Networks |
| Bahasa Indonesia | Jaringan Saraf Berulang Dua Arah |
| Bahasa Jawa | Jaringan Saraf Bidirectional Seugur |
| Bahasa Sunda | Jaringan Neural Ngungkabkeun |
| Bahasa Malaysia | Rangkaian Saraf Berulang Dua Arah |
Beberapa Paper (Artikel Ilmiah atau Makalah) atau Buku yang Terkait dengan Istilah Bidirectional Recurrent Neural Networks serta Link atau Tautannya
Di bawah ini adalah beberapa jenis macam paper (termasuk artikel ilmiah atau makalah) dan Buku yang berkaitan dengan istilah Bidirectional Recurrent Neural Networks:
- Long Short-Term Memory based Recurrent Neural Network Architectures for Large Vocabulary Speech Recognition
- Bidirectional Recurrent Neural Networks
- A Deep Learning Approach to Unsupervised Ensemble Learning
- Bidirectional Recurrent Convolutional Neural Network for Multi-Frame Super-Resolution
- Bidirectional Recurrent Neural Networks for Multi-Frame Super-Resolution
Kesimpulan
Itulah beberapa hal yang dapat Kami jelaskan dalam postingan khusus kamus, glosarium, atau kumpulan istilah kata Bidirectional Recurrent Neural Networks.
Bidirectional Recurrent Neural Networks (BRNN) adalah jenis jaringan saraf yang mampu memproses data secara simultan dari kedua arah, baik dari awal ke akhir maupun sebaliknya. Hal ini memungkinkan BRNN untuk menghasilkan prediksi yang lebih akurat dalam tugas-tugas seperti pengenalan suara, pemrosesan bahasa alami, dan pemodelan urutan data. BRNN juga dapat digunakan untuk memperbaiki masalah vanishing gradient pada jaringan saraf rekuren tradisional. Dalam dunia AI, BRNN menjadi salah satu teknik yang penting dalam pengembangan model yang lebih kompleks dan akurat. Dengan kemampuannya yang unik, BRNN dapat membantu meningkatkan kinerja model dan memberikan hasil yang lebih baik dalam berbagai aplikasi AI.
Penutup
Demikianlah, di atas adalah penjelasan dan penguraian tentang apa itu arti dari akronim, istilah, jargon, atau terminologi Bidirectional Recurrent Neural Networks.
Semoga kamus, glosarium, atau kumpulan istilah teknis bidang teknologi khususnya Artificial Intelligence, kecerdasan buatan, atau AI yang sudah Kami bagikan di sini dapat bermanfaat serta dapat menambah wawasan para pembaca.
Jangan lupa kunjungi, baca, dan lihat juga pembahasan istilah lainnya di laman Kamus AI Kami.
Sumber (Referensi)
Glosarium Kamus AI ini dibuat berdasar dari simpulan arti definisi dari berbagai referensi terkait (relevan) yang Kami anggap terpercaya termasuk seperti Wikipedia, Deep AI, Open AI, Oxford Technology Dictionary dan beberapa sumber lainnya. Kata Bidirectional Recurrent Neural Networks ini merupakan salah satu dari kumpulan istilah terkait Deep Learning dalam konteks atau bidang AI yang dimulai dengan awalan atau huruf B. Artikel Kamus AI ini di-update pada bulan May tahun 2026.
- https://id.wikipedia.org/wiki/Kecerdasan_buatan
- https://id.wikipedia.org/wiki/teknik
- https://id.wikipedia.org/wiki/teknologi
- https://id.wikipedia.org/wiki/teknis
- https://id.wikipedia.org/w/index.php?search=bidirectional-recurrent-neural-networks
- https://www.oxfordreference.com/search?source=%2F10.1093%2Facref%2F9780199587438.001.0001%2Facref-9780199587438&q=bidirectional-recurrent-neural-networks
- Lihat contoh gambar bidirectional-recurrent-neural-networks melalui Google di sini
- Lihat contoh gambar bidirectional-recurrent-neural-networks di Bing di sini
- Lihat contoh gambar bidirectional-recurrent-neural-networks di Yandex di sini
