Transformasi linier digunakan di semua bidang termasuk: kecerdasan buatan, pembelajaran mesin, pembelajaran mendalam, dan ilmu data. Ini adalah konsep mendasar dalam aljabar linier, yang merupakan alat matematika utama yang digunakan dalam bidang ini. Transformasi linier digunakan untuk mengubah data menjadi sistem koordinat baru, yang dapat membantu dalam menganalisis dan memahami data. Mereka juga digunakan dalam membangun model dan algoritma untuk berbagai tugas seperti pengenalan gambar dan ucapan, pemrosesan bahasa alami, dan analitik prediktif.
Berikut ini adalah postingan khusus kamus AI Kami yang menjelaskan terkait pembahasan terkait apa itu pengertian, makna, dan akronim, istilah, jargon, atau terminologi Linear Transformation berdasarkan dari berbagai jenis macam reference atau referensi relevan terpercaya yang telah Kami rangkum dan kumpulkan, termasuk definisinya menurut ahli.

Daftar Isi Konten:
- Pengertian Umum Linear Transformation
- Definisi Menurut Ahli
- Fungsi Linear Transformation
- Contoh Linear Transformation
- Rumus atau Formula Linear Transformation
- Jenis Macam Arti Transformasi Linier dalam Kamus Terjemahan Bahasa Inggris, Indonesia, Jawa, Sunda, dan Malaysia
- Beberapa Paper (Artikel Ilmiah atau Makalah) atau Buku yang Terkait dengan Istilah Linear Transformation serta Link atau Tautannya
- Kesimpulan
- Penutup
- Sumber (Referensi)
Pengertian Umum Linear Transformation
Linear Transformation atau Transformasi Linear adalah suatu konsep matematika yang digunakan untuk mengubah suatu vektor atau matriks menjadi vektor atau matriks baru dengan menggunakan suatu fungsi linear. Transformasi linear sering digunakan dalam berbagai bidang seperti fisika, teknik, dan ilmu komputer.
Definisi Menurut Ahli
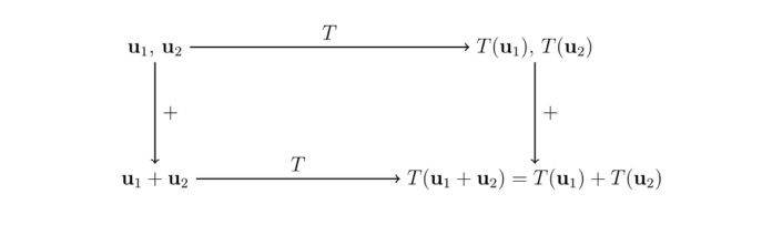
Menurut Gilbert Strang dalam bukunya yang berjudul “Linear Algebra and Its Applications”, transformasi linear adalah suatu fungsi yang memetakan suatu ruang vektor ke ruang vektor lainnya dengan mempertahankan sifat-sifat dasar dari ruang vektor seperti penjumlahan dan perkalian skalar.
Sedangkan menurut James Stewart dalam bukunya yang berjudul “Calculus: Early Transcendentals”, transformasi linear adalah suatu fungsi yang memetakan suatu ruang vektor ke ruang vektor lainnya dengan mempertahankan sifat-sifat dasar dari ruang vektor seperti penjumlahan dan perkalian skalar, serta memenuhi dua sifat yaitu homogenitas dan aditivitas.
Fungsi Linear Transformation
Fungsi linear transformation adalah suatu fungsi matematika yang mengubah suatu vektor menjadi vektor lainnya dengan cara mengalikan vektor tersebut dengan suatu matriks. Fungsi ini sering digunakan dalam berbagai bidang seperti fisika, teknik, dan matematika.
Contoh Linear Transformation
Contoh penerapan fungsi linear transformation adalah pada transformasi geometri. Misalnya, ketika kita ingin memutar suatu objek dalam bidang dua dimensi, kita dapat menggunakan matriks rotasi sebagai fungsi linear transformation. Matriks rotasi akan mengalikan vektor posisi objek dengan matriks rotasi tersebut sehingga objek akan berputar sesuai dengan sudut yang diinginkan.
Contoh lainnya adalah pada pengolahan citra digital. Fungsi linear transformation dapat digunakan untuk memperbaiki kualitas citra dengan mengubah kontras, kecerahan, atau memperbesar atau memperkecil ukuran citra.
Rumus atau Formula Linear Transformation
Linear Transformation adalah suatu transformasi yang mengubah suatu vektor menjadi vektor lainnya dengan menggunakan suatu matriks. Rumus atau formula untuk melakukan Linear Transformation adalah sebagai berikut:
T(x) = Ax
Dimana:
- T(x) adalah hasil dari Linear Transformation
- A adalah matriks transformasi
- x adalah vektor yang akan diubah
Untuk melakukan Linear Transformation, kita dapat mengalikan matriks transformasi dengan vektor yang akan diubah. Contohnya, jika kita memiliki matriks transformasi:
A = [2 1; 3 4]
Dan kita ingin mengubah vektor:
x = [1; 2]
Maka hasil dari Linear Transformation adalah:
T(x) = Ax = [2 1; 3 4] [1; 2] = [4; 11]
Jenis Macam Arti Transformasi Linier dalam Kamus Terjemahan Bahasa Inggris, Indonesia, Jawa, Sunda, dan Malaysia
Selain membahas tentang arti, apa itu, pengertian, definisi, fungsi, dan rumus atau formula terkaitnya, untuk lebih memperluasnya di sini Kami juga akan menerangkan beberapa jenis macam arti kata dalam kamus terjemahan bahasa Inggris, Indonesia, Jawa, Sunda, dan Malaysia.
Agar dapat dengan mudah dipahami, di postingan khusus Kamus AI ini Kami akan menjelaskannya dalam bentuk tabel terjemahan bahasa Inggris, Indonesia, Jawa, Sunda, dan Malaysia sebagai berikut.
| Nama Bahasa | Terjemahan |
| Bahasa Inggris | Linear Transformation |
| Bahasa Indonesia | Transformasi Linier |
| Bahasa Jawa | Transformasi Linear |
| Bahasa Sunda | Transformasi Linier |
| Bahasa Malaysia | Transformasi Linear |
Beberapa Paper (Artikel Ilmiah atau Makalah) atau Buku yang Terkait dengan Istilah Linear Transformation serta Link atau Tautannya
Di bawah ini adalah beberapa jenis macam paper (termasuk artikel ilmiah atau makalah) dan Buku yang berkaitan dengan istilah Linear Transformation:
- Deep Residual Learning for Image Recognition – https://arxiv.org/abs/1512.03385
- Generative Adversarial Networks – https://arxiv.org/abs/1406.2661
- Attention Is All You Need – https://arxiv.org/abs/1706.03762
- BERT: Pre-training of Deep Bidirectional Transformers for Language Understanding – https://arxiv.org/abs/1810.04805
- ImageNet Classification with Deep Convolutional Neural Networks – https://papers.nips.cc/paper/4824-imagenet-classification-with-deep-convolutional-neural-networks.pdf
Kesimpulan
Itulah beberapa hal yang dapat Kami jelaskan dalam postingan khusus kamus, glosarium, atau kumpulan istilah kata Linear Transformation.
Dalam dunia kecerdasan buatan (AI), Linear Transformation merupakan konsep yang sangat penting. Istilah ini merujuk pada transformasi linear dari satu ruang vektor ke ruang vektor lainnya. Dalam konteks AI, Linear Transformation digunakan untuk mengubah data mentah menjadi bentuk yang lebih mudah diproses oleh algoritma AI. Hal ini sangat penting karena algoritma AI membutuhkan data yang terstruktur dan terorganisir dengan baik untuk dapat bekerja dengan efektif. Selain itu, Linear Transformation juga digunakan dalam proses pengolahan citra dan pengenalan suara. Dengan menggunakan Linear Transformation, data mentah dapat diubah menjadi bentuk yang lebih mudah dipahami oleh mesin, sehingga memungkinkan AI untuk melakukan tugas-tugas yang lebih kompleks dan akurat. Oleh karena itu, pemahaman tentang Linear Transformation sangat penting bagi para ahli AI untuk dapat mengembangkan algoritma yang lebih canggih dan efektif.
Penutup
Demikianlah, di atas adalah penjelasan dan penguraian tentang apa itu arti dari akronim, istilah, jargon, atau terminologi Linear Transformation.
Semoga kamus, glosarium, atau kumpulan istilah teknis bidang teknologi khususnya Artificial Intelligence, kecerdasan buatan, atau AI yang sudah Kami bagikan di sini dapat bermanfaat serta dapat menambah wawasan para pembaca.
Jangan lupa kunjungi, baca, dan lihat juga pembahasan istilah lainnya di laman Kamus AI Kami.
Sumber (Referensi)
Glosarium Kamus AI ini dibuat berdasar dari simpulan arti definisi dari berbagai referensi terkait (relevan) yang Kami anggap terpercaya termasuk seperti Wikipedia, Deep AI, Open AI, Oxford Technology Dictionary dan beberapa sumber lainnya. Kata Linear Transformation ini merupakan salah satu dari kumpulan istilah terkait Deep Learning, Artificial Intelligence, Machine Learning, Data Science dalam konteks atau bidang AI yang dimulai dengan awalan atau huruf L. Artikel Kamus AI ini di-update pada bulan May tahun 2026.
- https://id.wikipedia.org/wiki/Kecerdasan_buatan
- https://id.wikipedia.org/wiki/teknik
- https://id.wikipedia.org/wiki/teknologi
- https://id.wikipedia.org/wiki/teknis
- https://id.wikipedia.org/w/index.php?search=linear-transformation
- https://www.oxfordreference.com/search?source=%2F10.1093%2Facref%2F9780199587438.001.0001%2Facref-9780199587438&q=linear-transformation
- Lihat contoh gambar linear-transformation melalui Google di sini
- Lihat contoh gambar linear-transformation di Bing di sini
- Lihat contoh gambar linear-transformation di Yandex di sini
