Aturan rantai paling umum digunakan di bidang kecerdasan buatan, pembelajaran mesin, pembelajaran mendalam, dan ilmu data. Ini adalah konsep mendasar dalam kalkulus yang digunakan untuk menghitung turunan dari fungsi komposit. Di bidang -bidang ini, aturan rantai digunakan untuk menghitung gradien jaringan saraf yang kompleks, yang digunakan untuk tugas -tugas seperti pengenalan gambar, pemrosesan bahasa alami, dan analitik prediktif.
Berikut ini adalah postingan khusus kamus AI Kami yang menjelaskan terkait pembahasan mengenai apa itu pengertian, maksud, dan akronim, istilah, jargon, atau terminologi Chain Rule berdasarkan dari berbagai jenis macam reference atau referensi relevan terpercaya yang telah Kami rangkum dan kumpulkan, termasuk definisinya menurut ahli.

Daftar Isi Konten:
- Pengertian Umum Chain Rule
- Definisi Menurut Ahli
- Fungsi Chain Rule
- Contoh Chain Rule
- Rumus atau Formula terkait Chain Rule
- Jenis Macam Arti Aturan Rantai dalam Kamus Terjemahan Bahasa Inggris, Indonesia, Jawa, Sunda, dan Malaysia
- Beberapa Paper (Artikel Ilmiah atau Makalah) atau Buku yang Terkait dengan Istilah Chain Rule serta Link atau Tautannya
- Kesimpulan
- Penutup
- Sumber (Referensi)
Pengertian Umum Chain Rule
Chain Rule atau aturan rantai adalah salah satu konsep dasar dalam kalkulus yang digunakan untuk menghitung turunan fungsi yang terdiri dari fungsi-fungsi lain. Dalam Chain Rule, turunan fungsi yang kompleks dihitung dengan memecahnya menjadi beberapa fungsi yang lebih sederhana dan kemudian menghitung turunan masing-masing fungsi tersebut.
Definisi Menurut Ahli
Menurut James Stewart dalam bukunya “Calculus: Early Transcendentals”, Chain Rule didefinisikan sebagai aturan yang digunakan untuk menghitung turunan fungsi yang terdiri dari fungsi-fungsi lain. Sedangkan menurut Michael Spivak dalam bukunya “Calculus”, Chain Rule didefinisikan sebagai aturan yang memungkinkan kita untuk menghitung turunan fungsi yang terdiri dari fungsi-fungsi lain dengan cara memecahnya menjadi beberapa fungsi yang lebih sederhana dan kemudian menghitung turunan masing-masing fungsi tersebut.
Fungsi Chain Rule
Chain Rule adalah aturan yang digunakan untuk menghitung turunan fungsi yang terdiri dari fungsi-fungsi yang lebih sederhana. Dalam matematika, Chain Rule digunakan untuk menghitung turunan fungsi yang kompleks dengan memecahnya menjadi fungsi-fungsi yang lebih sederhana. Dengan menggunakan Chain Rule, kita dapat menghitung turunan fungsi yang terdiri dari fungsi-fungsi yang lebih sederhana dengan lebih mudah dan efisien.
Contoh Chain Rule
Contoh penerapan Chain Rule adalah ketika kita ingin menghitung turunan dari fungsi f(x) = sin(x^2). Kita dapat memecah fungsi tersebut menjadi dua fungsi yang lebih sederhana, yaitu g(x) = sin(x) dan h(x) = x^2. Kemudian, kita dapat menghitung turunan dari masing-masing fungsi tersebut, yaitu g'(x) = cos(x) dan h'(x) = 2x. Setelah itu, kita dapat menggabungkan kedua turunan tersebut dengan menggunakan Chain Rule, sehingga turunan dari fungsi f(x) adalah:
f'(x) = g'(h(x)) * h'(x) = cos(x^2) * 2x
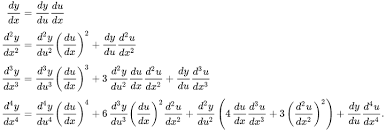
Rumus atau Formula terkait Chain Rule
Chain Rule atau aturan rantai adalah salah satu konsep dasar dalam kalkulus yang digunakan untuk menghitung turunan fungsi yang kompleks. Rumus Chain Rule dapat dituliskan sebagai berikut:
d(f(g(x)))/dx = f'(g(x)) * g'(x)
Simbol-simbol yang digunakan dalam rumus ini adalah:
- d adalah operator turunan
- f adalah fungsi luar
- g adalah fungsi dalam
- x adalah variabel independen
- f'(g(x)) adalah turunan fungsi luar pada titik g(x)
- g'(x) adalah turunan fungsi dalam pada titik x
Dengan menggunakan rumus Chain Rule, kita dapat menghitung turunan fungsi yang terdiri dari fungsi luar dan fungsi dalam. Misalnya, jika kita memiliki fungsi f(x) = sin(x^2), maka kita dapat menuliskan f(x) sebagai f(g(x)) dengan g(x) = x^2 dan f(u) = sin(u). Kemudian, kita dapat menghitung turunan f(x) dengan menggunakan Chain Rule:
d(sin(x^2))/dx = cos(x^2) * 2x
Dalam contoh ini, fungsi luar adalah sin(u) dan fungsi dalam adalah x^2. Kita menghitung turunan fungsi luar pada titik g(x) = x^2 dan turunan fungsi dalam pada titik x.
Jenis Macam Arti Aturan Rantai dalam Kamus Terjemahan Bahasa Inggris, Indonesia, Jawa, Sunda, dan Malaysia
Selain membahas tentang arti, apa itu, pengertian, definisi, fungsi, dan rumus atau formula terkaitnya, untuk lebih memperluasnya di sini Kami juga akan menerangkan beberapa jenis macam arti kata dalam kamus terjemahan bahasa Inggris, Indonesia, Jawa, Sunda, dan Malaysia.
Agar dapat dengan mudah dipahami, di postingan khusus Kamus AI ini Kami akan menjelaskannya dalam bentuk tabel terjemahan bahasa Inggris, Indonesia, Jawa, Sunda, dan Malaysia sebagai berikut.
| Nama Bahasa | Terjemahan |
| Bahasa Inggris | Chain Rule |
| Bahasa Indonesia | Aturan Rantai |
| Bahasa Jawa | Aturan Chain |
| Bahasa Sunda | Ranté Aturan |
| Bahasa Malaysia | Peraturan Rantai |
Beberapa Paper (Artikel Ilmiah atau Makalah) atau Buku yang Terkait dengan Istilah Chain Rule serta Link atau Tautannya
Di bawah ini adalah beberapa jenis macam paper (termasuk artikel ilmiah atau makalah) dan Buku yang berkaitan dengan istilah Chain Rule:
- Deep Residual Learning for Image Recognition – https://arxiv.org/abs/1512.03385
- Generative Adversarial Networks – https://arxiv.org/abs/1406.2661
- Attention Is All You Need – https://arxiv.org/abs/1706.03762
- BERT: Pre-training of Deep Bidirectional Transformers for Language Understanding – https://arxiv.org/abs/1810.04805
- ImageNet Classification with Deep Convolutional Neural Networks – https://papers.nips.cc/paper/4824-imagenet-classification-with-deep-convolutional-neural-networks.pdf
Kesimpulan
Itulah beberapa hal yang dapat Kami jelaskan dalam postingan khusus kamus, glosarium, atau kumpulan istilah kata Chain Rule.
Dalam dunia AI, Chain Rule merupakan salah satu konsep matematika yang sangat penting. Konsep ini digunakan untuk menghitung probabilitas suatu kejadian yang terjadi secara berurutan. Dalam konteks AI, Chain Rule digunakan untuk memperkirakan probabilitas suatu kejadian berdasarkan data yang telah dikumpulkan sebelumnya. Dengan menggunakan Chain Rule, sistem AI dapat memperoleh informasi yang lebih akurat dan dapat membuat keputusan yang lebih tepat. Oleh karena itu, pemahaman yang baik tentang Chain Rule sangat penting bagi para ahli AI untuk mengembangkan sistem AI yang lebih canggih dan efektif.
Penutup
Demikianlah, di atas adalah penjelasan dan penguraian tentang apa itu arti dari akronim, istilah, jargon, atau terminologi Chain Rule.
Semoga kamus, glosarium, atau kumpulan istilah teknis bidang teknologi khususnya Artificial Intelligence, kecerdasan buatan, atau AI yang sudah Kami bagikan di sini dapat bermanfaat serta dapat menambah wawasan para pembaca.
Jangan lupa kunjungi, baca, dan lihat juga pembahasan istilah lainnya di laman Kamus AI Kami.
Sumber (Referensi)
Glosarium Kamus AI ini dibuat berdasar dari simpulan arti definisi dari berbagai referensi terkait (relevan) yang Kami anggap terpercaya termasuk seperti Wikipedia, Deep AI, Open AI, Oxford Technology Dictionary dan beberapa sumber lainnya. Kata Chain Rule ini merupakan salah satu dari kumpulan istilah terkait Deep Learning, Artificial Intelligence, Machine Learning, Data Science dalam konteks atau bidang AI yang dimulai dengan awalan atau huruf C. Artikel Kamus AI ini di-update pada bulan May tahun 2026.
- https://id.wikipedia.org/wiki/Kecerdasan_buatan
- https://id.wikipedia.org/wiki/teknik
- https://id.wikipedia.org/wiki/teknologi
- https://id.wikipedia.org/wiki/teknis
- https://id.wikipedia.org/w/index.php?search=chain-rule
- https://www.oxfordreference.com/search?source=%2F10.1093%2Facref%2F9780199587438.001.0001%2Facref-9780199587438&q=chain-rule
- Lihat contoh gambar chain-rule melalui Google di sini
- Lihat contoh gambar chain-rule di Bing di sini
- Lihat contoh gambar chain-rule di Yandex di sini
